开心洋葱 , 版权所有丨如未注明 , 均为原创丨未经授权请勿修改 , 转载请注明PCL点云特征描述与提取!
PCL点云特征描述与提取

-

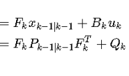
Codesys PLC中实现卡尔曼滤波器 -

从网络到分布式-负载均衡 -

潮汐表表v3.0 全新升级 -

Error when trying to install SageAttention – distutils._msvccompiler has no attribute ‘_get_vc_env’
- 从网络到分布式-负载均衡
- 潮汐表表v3.0 全新升级
- Error when trying to install SageAttention – distutils._msvccompiler has no attribute ‘_get_vc_env’
- Java 16最前沿技术——ZGC
- 2016年机器人发展五大趋势
- ROS探索总结(一)——ROS简介
- ROS探索总结(二)——ROS总体框架
- ROS探索总结(三)——ROS新手教程
- ROS探索总结(四)——简单的机器人仿真
- ROS探索总结(五)——创建简单的机器人模型smartcar
- ROS探索总结(六)——使用smartcar进行仿真
- ROS探索总结(七)—— smartcar源码上传
- ROS探索总结(八)—— 键盘控制
- ROS探索总结(九)—— 操作杆控制
- ROS探索总结(十)—— 语音控制
- ROS探索总结(十一)—— 机器视觉
