标签:仿真
ROS——无人机ROS仿真包 rotors_simulator 编译教程
ROS——Gazebo仿真——四轮小车(SmartCar)详细教程——urdf文件详解
Robotics System Toolbox学习笔记(四):inverseKinematics及逆运动学约束ConstraintInputs
OpenRobotSL 5年前 (2021-04-26) 3288浏览 0评论1097个赞
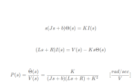
Matlab 仿真——直流电机速度控制(3)PID控制器设计
移动机器人技术(7) — 卡尔曼滤波原理与仿真
Techblog of HaoWANG 5年前 (2021-04-26) 1708浏览 0评论2192个赞
